
에너지(energy)란 무엇인가 ??
일을 하거나 열을 공급할 수 있는 능력
에너지 = 일 +열
보일러나 가스렌지에 사용되는 gas(프로판 가스, LPG, propane gas)는
집을 따뜻하게 하거나 음식을 요리할 수 있는 열을 제공한다.
프로판 분자의 화학 결합에 저장되어 있는 위치 에너지가
프로판이 연소 반응을 일어나면서 분자의 운동 에너지(열)로 변환되는 것이다.
이처럼 일상 생활 속에서
에너지가 일과 열의 형태로 전환되는 현상을 이해하고
화학 반응에 속에서 일어나는 현상을 파악해 보자.
1. 화학 반응은 왜 일어나는가??
⇒ 그 답은 화합물의 안정성에 있다.
2. 그러면 안정성은 무엇인가?
⇒ 화합물의 안정성을 결정하는 중요한 인자는 화합물의 에너지의 양이다.
3. 그러면 어떤 화합물이 안정하다고 할 수 있는가?
⇒ 에너지가 많은 화합물은 반응성이 커서 그 만큼 안정하지 않다.
에너지 큼 ⇒ 반응성 큼 ⇒ 불안정
⇒ 에너지가 적은 화합물은 반응성이 적어서 반응성이 작고 그 만큼 안정하다.
에너지 적음 ⇒ 반응성 작음 ⇒ 안정
1. 운동 에너지(kinetic energy, Ek)
1-1. 물체의 운동에 관한 에너지
1-2. 물체의 질량이 클수록 운동 에너지 양은 크다.
1-3. 물체의 속도가 클수록 운동 에너지 양은 크다.
1-4. 속도 v, 질량 m 으로 표현되는 수식은 아래와 같다.

- 질량 m 의 단위 : kg
- 속도 v 의 단위 : m/s (의미 : 초당(s) 몇 미터(m) 움직였나)
- 읽는 법 : meters per second (미터 퍼 세컨드)
(예시)
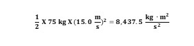
몸무게 75.0 kg인 사람이 자전거를 타고 15.0 m/s의 속도로 달린다.
운동 에너지는?
(풀이)
운동 에너지 식에 대입하면

에너지 단위는 kg·m2/s2 이고,
영국 물리학자 James Prescott Joule 의 이름을 따라 ' J '주울 로 나타낸다.
J = kg·m2/s2
따라서 8,437.5 kg·m2/s2 = 8,437.5 J = 8.4375 kJ이다.
※ 에너지 단위 : 주울(J) 에 대해서는 다른 장에서 소개합니다.
2. 위치 에너지(Potential energy, Ep)
2-1. 물체의 위치에 저장된 에너지
2-2. 화학적 조성에 따라 저장된 에너지
(예시)
- 물이 낙하할 때, 위치 에너지는 운동 에너지로 변환
- 앞서 언급한 프로판 가스나 연료는 화학결합 안에 위치 에너지를 가지고 있다.
연소될 때, 이런 화합물의 위치 에너지의 일부가 열로 방출된다.
- 댐의 물은 움직이지 않으므로 (v=0, 속도가 0) 운동 에너지는 없다.
댐의 물이 낙하하면 위치(높이)에너지는 감소하고 운동 에너지가 증가.
※ 총 에너지 = 위치 에너지 + 운동 에너지
다른 형태의 에너지로 변화되는 것!!
열역학 제 1 법칙 : 우주의 에너지는 일정하다.
전체의 에너지 중의 일부를 다른 형태의 에너지로 변화되는 것일 뿐이다.
※ 열역학 법칙에 대해서 다른 장에서 자세히 소개하겠습니다.
3. 화학 에너지(Chemical energy)
3-1. 화학 결합이 위치 에너지 일종으로 저장 매체 역할.
3-2. 반응을 통해 더 안정한 생성물로 될 때,
위치에너지가 열, 빛의 형태로 전환
에너지 변화를 통해 열의 이동 현상을 파악하고
이를 통해 앞으로 엔탈피, 엔트로피 등을 개념을 알아보려는 이유는
궁극적으로 화학 반응의 현상을 이해하고 예상하기 위해서이다.
화학 반응이 자발적인지 비자발적으로 진행되는지를 파악할 수 있다면
화학 세계를 이해하는 하나의 척도가 될 수 있다.
화학 세계를 넘어 자연 현상, 과학 현상을 이해하는 시작점으로서
해당 개념들을 알아보는 시간이 되길 바랍니다.
방문 감사드립니다.
Written by K-Lab Zone (K-LZ)