[ 달콤한 달고나는 어떻게 만들어지나? ]
한국 영화 '오징어 게임'에서
인상적인 게임으로 소개되었던
'뽑기 게임' 일명 달고나 뽑기
어린 시절 문방구나 놀이터 근처에서
꼭 하나씩 있었던 '핫 메뉴'
'달고나'
설탕을 녹여서 흰 가루를 넣으면 부풀어 오르면서
그 상태 그대로 찍어 먹는 것을 '달고나' 라고 했다.
그리고 그 상태를 빼내어 철판으로 눌러서
여러 가지 모양을 찍어내고
그 모양이 부셔지지 않게 조금씩 잘라서 먹는 것을 '뽑기'라고 했다.
지금은 그 의미가 합쳐져서
그게 바로 '오징어 게임'에서 나왔던
달고나 뽑기 게임으로 표현되었다.
그렇다면
설탕을 열로 녹여서 흰가루??를 넣으면
어떤 물질이 만들어져서
달콤한 과자 형태가 되는 것일까??
그 원리를 알아보자.
Ⅰ. 설탕은 어떤 구조일까?
설탕(=sugar, 자당, sucrose, 수크로오스)은 포도당과 과당이 화학 결합된 구조이다.

단당인 포도당 1 분자 + 과당 1분자가 결합된 형태.
포도당(α-D-glucopyranose) + 과당(β-D-fructofuranose) = 설탕(β-D-Fructofuranosyl α-D-glucopyranoside)
설탕 분자식 : C12H22O11
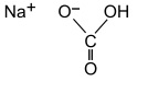
Ⅱ. 흰 가루의 정체는 ??
달고나에 들어가는 흰가루는 '식소다' , '소다', '베이킹 소다' 라고 불리는
탄산수소나트륨(NaHCO3, Sodium bicabonate) 이다.

Ⅲ. 달고나 만드는 방법
1. 설탕을 일반 숫가락으로 한 수푼 정도를 달고나용 국자에 넣는다.
2. 온도를 올려서 설탕을 녹인다.
(Tip. 약불에서 약 5-6cm 높이에서 녹여서 타는 것을 방지한다.)
3. 설탕이 녹으면 바로 탄산수소나트륨(식소다)를 아주 소량 넣는다.
(식소다 투입량 : 엄지 손톱의 흰부위 면적만큼??)
4. 약 10-20초 정도 열심히 저어준다.
5. 스테인레스 쟁반 또는 달고나 전용판에 설탕을 일부 뿌려 놓는다.
6. 잘 저어준 달고나를 쟁반 또는 전용판에 붓는다.
7. 약 10~15초 정도 지난 후에 달고나 전용 또는 철판 등으로 누른다.
(Tip. 열전도가 심해서 누르는 철판은 두꺼우면 좋다. (ex. 호떡 전용 누름판)
8. 여러가지 모양의 틀로 눌러준다.
9. 완성


Ⅳ. 달고나 화학적 원리
1. 설탕이 열에 의해 녹으면 저분자인 포도당과 과당으로 분해된다.
열이 지속될수록 저분자인 포도당으로 변화된다.
이 과정에서 내부의 탄소에 의해 겉 표면이 갈색으로 변화하고 끈끈한 질감이 생겨난다.

2. 약염기(약알카리성)인 탄산수소나트륨(NaHCO3, Sodium bicabonate) 넣으면
약산인 포도당과 반응하여 이산화탄소(CO2) 를 발생시키면서 캐러멜화(caramelization)가 진행된다.
달고나가 부풀어 오르는 것은 반응 생성물인 이산화탄소 때문이다.
3. 설탕과 혼합된 탄산수소나트륨(식소다)는 수분과 열에 반응.
이산화탄소가 내부 다공층(기포)를 만들어 단단히지 않고 부드러운 질감을 유지한다.
4. 설탕이 너무 높은 온도(열)에서 유지되면 설탕의 내부 탄소 고리가 끊어지고
탈수 이후에 산화 반응이 지속되어 타게(잿더미)가 된다.
그래서 산화반응에 의해 아세트산(Acetic acid)과 탄화수소로 변화되어
잘못 만들어진 달고나가 단맛이 없고 시큼한 맛이 나게 되는 것이다.

튀김 양파가 가열되면서 흰색에서 황금갈색으로 변하는 것도
양파의 천연 설탕이 캐러멜화되기 때문이다.
방문 감사드립니다.
공감/댓글은 제작에 힘이 됩니다. ^^
Written by Chang-Ho, Yoon. / K-Lab Zone (K-LZ)